4 milioni di bambini ammalati per colpa delle auto

Circa 4 milioni di bambini in tutto il mondo ogni anno si ammalano di asma soprattutto a causa dell'inalazione di biossido di azoto. Secondo lo studio pubblicato dai ricercatori della George Washington University Milken Institute School of Public Health il 64% di questi nuovi casi di asma si verifica in aree urbane.

L’asma pediatrica è correlata alle emissioni di biossido di azoto generate dai veicoli a motore

Circa 4 milioni di bambini in tutto il mondo ogni anno si ammalano di asma soprattutto a causa dell'inalazione di biossido di azoto. Secondo lo studio pubblicato dai ricercatori della George Washington University Milken Institute School of Public Health il 64% di questi nuovi casi di asma si verifica in aree urbane.

L’asma è una malattia infiammatoria che colpisce l’apparato respiratorio, in particolare i bronchi. Si manifesta con fasi acute di broncospasmo associato a un eccesso di produzione di muco, talvolta vischioso, che contribuisce all’ostruzione delle vie bronchiali. Si stima che 235 milioni di persone in tutto il mondo attualmente soffrano di asma.

Uno studio recente ha quantificato per la prima volta il numero di nuovi casi di asma pediatrica causati dal biossido di azoto (NO2) generato principalmente dai gas di scarico dei veicoli a motore. Lo studio infatti ha tenuto conto proprio delle alte esposizioni a questo inquinante che si verificano vicino a strade trafficate.
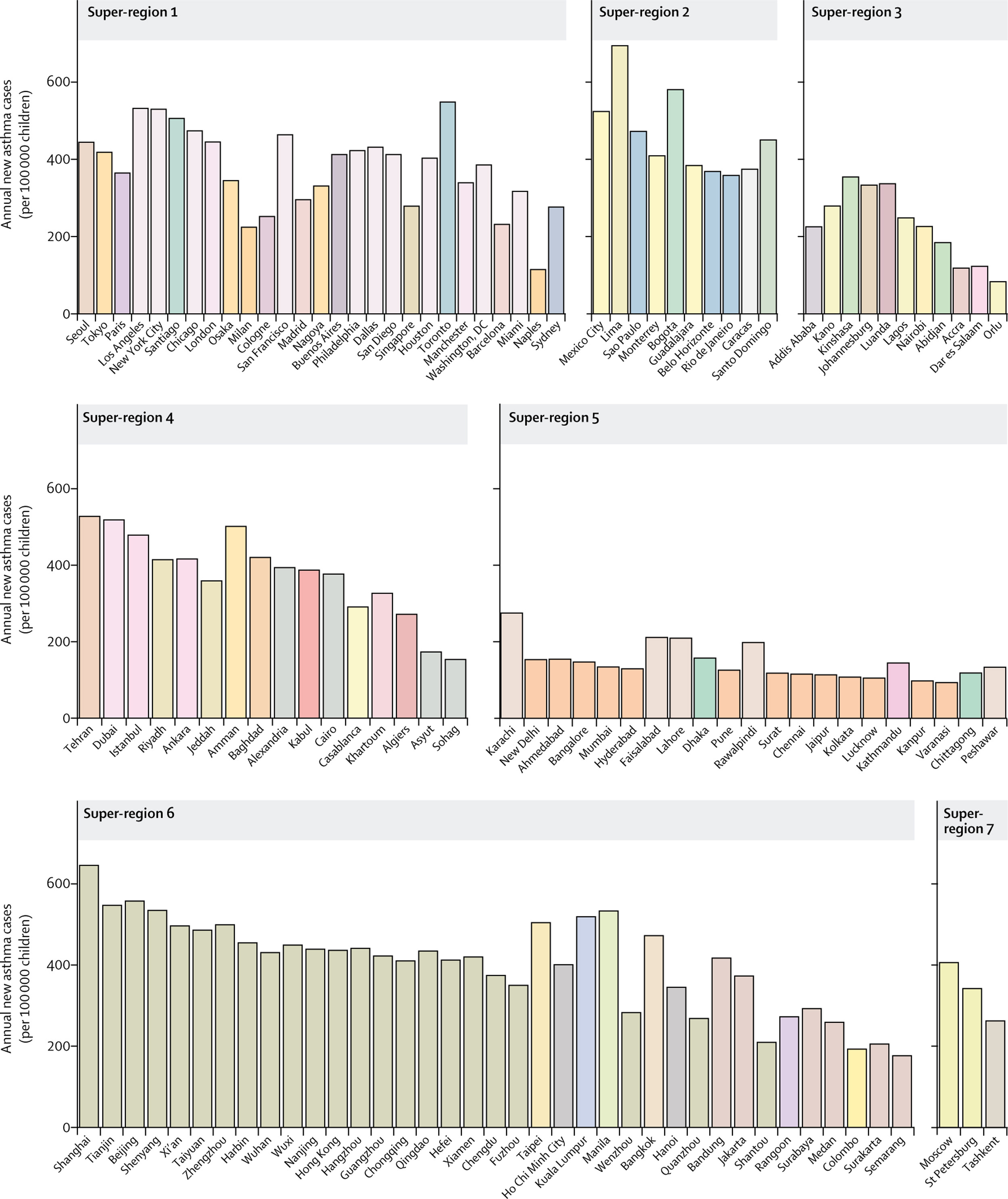
I ricercatori, collegando database mondiali sulle concentrazioni zonali di NO2, sulla distribuzione della popolazione pediatrica e sui tassi di incidenza dell'asma, hanno messo in relazione l'inquinamento da NO2 derivato dal traffico con lo sviluppo dell'asma nei bambini. Sono stati quindi in grado di stimare il numero di nuovi casi di asma pediatrica attribuibili all'inquinamento da NO2 in 194 paesi e 125 grandi città.
Secondo lo studio, dal 2010 al 2015 circa 4 milioni di bambini, ogni anno, si sono ammalati di asma per l'esposizione all'inquinamento da NO2. Si stima che il 13% dell'incidenza annuale dell'asma pediatrica in tutto il mondo sia collegata all'inquinamento da NO2. A Shanghai, in Cina, il NO2 rappresenta il 48% dell’incidenza di asma pediatrica. I primi 10 maggiori contributi di NO2 sono stati stimati per otto città cinesi (dal 37 al 48% dell'incidenza di asma pediatrica) e per Mosca e Seoul. Il contributo di NO2 ha superato il 20% in 92 città. A livello nazionale, il maggior numero di casi di asma da esposizione a NO2 si sono avuti in Cina (760.000 casi di asma all'anno), in India (350.000 casi) e negli Stati Uniti (240.000 casi).

asma_inquinamento.jpg
Copyright: Elsevier Ltd.

L'Organizzazione Mondiale della Sanità definisce l'inquinamento atmosferico un grande rischio ambientale per la salute e ha stabilito i livelli massimi di inquinamento da NO2 tollerabili. I ricercatori hanno scoperto che circa il 92% dei nuovi casi di asma pediatrica attribuibili al NO2 si sono verificati in aree che già soddisfano gli standard definiti dalle linee guida dell'OMS. Secondo gli autori dello studio questa scoperta suggerisce che le linea guida dell'OMS per l'NO2 potrebbero aver bisogno di essere rivalutate per assicurarsi che siano sufficientemente protettive per la salute dei bambini.
"I nostri risultati suggeriscono che milioni di nuovi casi di asma pediatrica potrebbero essere evitati riducendo l'inquinamento atmosferico," ha detto Susan Anenberg, autrice dello studio.  "Migliorare l'accesso a forme di trasporto più pulite, come il trasporto pubblico elettrico, la bicicletta e la camminata, non solo ridurrebbe i livelli di NO2, ma ridurrebbe anche l'asma, migliorerebbe la forma fisica e ridurrebbe le emissioni di gas serra".

 

Fonte: Achakulwisut P, Brauer M, Hystad P, Anenberg SC. Global, national, and urban burdens of paediatric asthma incidence attributable to ambient NO2 pollution: estimates from global datasets. Lancet Planet Health. 2019 Apr 10. pii: S2542-5196(19)30046-4. doi: 10.1016/S2542-5196(19)30046-4.